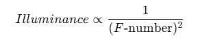
Ao comprar ou fabricar equipamentos de segurança, é fácil olhar para uma lente F2.0 e uma lente F1.0 e pensar:“É apenas uma diferença de 1,0, certo?”Errado. No mundo da óptica, os números f não são escalonados linearmente. O número f (ou razão focal) é a razão entre a distância focal da lente e o diâmetro da pupila de entrada. A fórmula para o poder de captação de luz (iluminância) de uma lente determina que a quantidade de luz que atinge o sensor é inversamente proporcional ao quadrado do número f:
Portanto, se compararmos uma lente F2.0 com uma lente F1.0, o cálculo da diferença na entrada de luz será assim:
Baixo ganho = baixo ruído:Você obtém uma imagem limpa e nítida sem aquela irritante "neve" digital.
Luz Alta = Cor Total:O sensor recebe dados de comprimento de onda suficientes para reproduzir cores com precisão, mesmo no meio da noite.
Se F1.0 é tão bom, por que nem todas as câmeras estão equipadas com uma? Porque dobrar tanta luz com precisão é incrivelmente difícil.
Quando você abre uma abertura tão ampla, você convida ao caos óptico: os raios de luz que atingem as bordas da lente causam aberração cromática (franjas roxas) e desfoque severo nos cantos da imagem. Para controlar uma abertura F1.0, a estrutura interna da lente deve ser projetada com maestria.
É aqui que a distinção entre lentes de plástico baratas e vidro de nível profissional se torna crítica.
Na Shanghai Silk Optical Technology Co., Ltd., projetamos oLente PL100especificamente para resolver o desafio de engenharia F1.0 para aplicações de segurança e robótica de ponta.
Alcançar uma resolução de 2MP-5MP com abertura F1.0 em um sensor 1/2.7 requer extrema precisão. Você não pode conseguir isso com elementos plásticos padrão. O PL100 utiliza um7E (Sete Elementos) Estrutura Totalmente em Vidro. Veja por que isso é importante para seus resultados financeiros:
Transmitância incomparável:O vidro permite a passagem de mais luz do que o plástico. Quando o objetivo de uma lente F1.0 é maximizar a entrada de luz, o uso de elementos plásticos anula o propósito. A estrutura de vidro 7E garante que a quantidade máxima desses fótons capturados chegue ao sensor.
Estabilidade Térmica Suprema:Câmeras de segurança ficam ao ar livre. Eles assam ao sol do verão e congelam no inverno. As lentes de plástico se expandem e contraem com as mudanças de temperatura, mudando ligeiramente o ponto focal e fazendo com que sua câmera perfeitamente nítida fique embaçada com o tempo (um fenômeno conhecido como desvio térmico). O vidro é incrivelmente estável. A construção 7E do PL100 garante que a distância focal de 4 mm permaneça exatamente em 4 mm, seja 40°C ou -20°C.
Clareza de ponta a ponta:Com um amplo FOV horizontal de 89°, os 7 elementos de vidro alinhados com precisão corrigem a distorção óptica inerentemente causada pela enorme abertura F1.0, mantendo as bordas da sua filmagem tão nítidas quanto o centro.
Mudar para a vigilância noturna em cores não é um artifício; é o novo padrão para a indústria de segurança. Mas colocar um sensor Starlight de última geração atrás de uma lente barata de abertura estreita é como colocar o motor de um carro esportivo em um carrinho de golfe.
Para realmente desbloquear “cor sem luz suplementar”, você precisa do poder de captação de luz 4x de uma abertura F1.0, apoiado pela estabilidade térmica e alta transmitância de uma estrutura toda em vidro.
(Pronto para atualizar sua linha de hardware?Explore as especificações completas da PL100 e de nossas outras lentes ópticas de precisão aqui.)